Секвенция (позднелат. sequentia, букв. — то, что идёт вслед; следование, от лат. sequor — следую).
1) Жанр средне-вековой монодии, песнопение, исполнявшееся в мессе после Alleluia перед чтением Евангелия. Происхождение термина «секвенция» связано с обычаем расширять песнопение Alleluia, прибавляя к нему ликующую юбиляцию (jubelus) на гласные a — e — u — i — a (в особенности на последнюю из них). Добавляемая юбиляция (sequetur jubilatio), первоначально бестекстовая, и была впоследствии названа С. Будучи вставкой (как бы вокальной «каденцией»), С. является разновидностью тропа. Специфика С., отличающая её от обычного тропа, состоит в том, что она представляет собой относительно самостоят. раздел, выполняющий функцию расширения предшествующего песнопения. Развиваясь на протяжении столетий, юбиляция-С. приобретала разл. облик. Различают две разные формы С: 1-я бестекстовая (не называлась С.; условно — до 9 в.), 2-я — с текстом (с 9 в.; собственно С.). Возникновение вставки- юбиляции относится примерно к 4 в., периоду превращения христианства в гос. религию (в Византии при императоре Константине); тогда юбиляция носила радостно-ликующий характер. Здесь впервые пение (музыка) обрело внутр. свободу, выйдя из подчинения словесному тексту (внемузыкальному фактору) и ритму, имевшему в основе танц. либо маршевое движение. «Тот, кто предаётся юбиляции, не произносит слов: это — глас духа, растворённого в радости…», — указывал Августин. Форма С. с текстом распространилась в Европе во 2-й пол. 9 в. под влиянием византийских (и болгарских?) певцов (по А. Гастуэ, 1911, в рукоп. С. встречаются указания: graeca, bulgarica). С., возникшие в результате подстановки текста к юбиляц. распеву, получили также название «прозы» (по одной из версий термин «проза» происходит от начертания под титлом pro sг = pro sequentia, т. е. «вместо секвенции»; франц. pro seprose; однако это объяснение не совсем согласуется со столь же частыми выражениями: prosa cum sequentia — «проза с секвенцией», prosa ad sequentiam, sequentia cum prosa — здесь «проза» истолковывается как текст к секвенции). Расширение юбиляционного мелизма, особенно выделяющее мелодич. начало, получило название longissima melodia. Одной из причин, вызвавших подстановку текста к юбиляции, была значит. трудность запоминания «длиннейшей мелодии». Установление формы С. приписывается монаху из монастыря Санкт-Галлен (в Швейцарии, близ Боденского озера) Ноткеру Заике. В предисловии к «Книге гимнов» («Liber Ymnorum», ок. 860–887) Ноткер сам рассказывает об истории жанра С.: в Санкт-Галлен прибыл из разорённого аббатства Жюмьеж (на Сене, под Руаном) монах, к-рый передал санкт-галленцам сведения о С. По совету своего учителя Изо Ноткер подтекстовал юбиляции согласно силлабич. принципу (один слог на один звук мелодии). Это было очень важным средством уточнения и фиксации «длиннейших мелодий», т. к. господствовавший тогда способ муз. нотации был несовершенным. Далее Ноткер приступил к сочинению ряда С. «в подражание» известным ему песнопениям этого рода. Историч. значение метода Ноткера состоит в том, что церк. музыканты и певцы впервые получили возможность создавать новую собств. музыку (Нестлер, 1962, с. 63). В творчестве Ноткера выработалась и оригинальная муз. форма С., в к-рой формирующим фактором было взаимодействие словесного текста и мелодии:
(Могли быть и др. варианты структуры С.)
Основу формы составляли двойные стихи (bc, de, fg,…), строки к-рых точно или приблизительно равны по длине (одна нота — один слог), иногда родственны по содержанию; пары же строк часто контрастны. Наиболее примечательна арочная связь между всеми (или почти всеми) окончаниями муз. строк-либо на одном и том же звуке, либо даже сходными заключит. оборотами.
Текст Ноткера не рифмован, что характерно для первого периода развития С. (9–10 вв.). В эпоху Ноткера уже практиковалось исполнение С. хором, антифонно (также с чередованием голосов мальчиков и мужчин) — «с целью наглядно выразить согласие всех в любви» (Durandus, 13 в.). Структура С. — важный шаг в развитии муз. мышления (см. Nestler, 1962, с. 65–66). Наряду с литургич. С. существовали и внелитургич. светские (на лат. языке; иногда с инстр. сопровождением).
В дальнейшем С. разделились на 2 вида: западные (Прованс, Сев. Франция, Англия) и восточные (Германия и Италия); среди образцов
Hoткер. Секвенция.
начального многоголосия встречаются и С. (С. Rex coeli domine в Musica enchiriadis, 9 в.). С. оказали влияние на развитие нек-рых светских жанров (эстампи, Leich). Текст С. становится рифмованным. Второй этап эволюции С. начался с 12 в. (гл. представитель — автор популярных «проз» Адам из парижского аббатства Сен-Виктор). По форме подобные С. приближаются к гимну (помимо силлабики и рифмы — стиховой метр, периодич. структура, рифменные каденции). Однако мелодия гимна одинакова для всех строф, а в С. она связана с двойными строфами.
Строфа гимна обычно имеет 4 строки, а С. — 3; в отличие от гимна С. предназначена для мессы, а не для оффиция. Последний период развития С. (13–14 вв.) ознаменован сильным влиянием внелитургич. нар.-песенных жанров. Постановлением Тридентского собора (1545–63) из церк. службы были изгнаны почти все С., за исключением четырёх: пасхальная С. «Victimae paschali laudes» (текст, а возможно, и мелодия — Випо Бургундского, 1-я пол. 11 в.; К. Пэрриш, Дж. Оул, с. 12–13; от этой мелодии, вероятно, с 13 в. происходит известный хорал «Christus ist erstanden»); С. на праздник Троицы «Veni sancte spiritus», к-рая приписывается С. Ленгтону (ум. в 1228) или папе Иннокентию III; С. на праздник Тела Господня «Lauda Sion Salvatorem» (текст Фомы Аквинского, ок. 1263; мелодия первоначально связана с текстом другой С. — «Laudes Crucis attolamus», приписываемой Адаму Сен-Викторскому, к-рая использована П. Хиндемитом в опере «Художник Матис» и в одноим. симфонии); С. нач. 13 в. о судном дне Dies irae, ок. 1200? (в составе Реквиема; по 1-й главе книги пророка Софонии). Позже была допущена и пятая С., на праздник Семи скорбей Марии — Stabat Mater, 2-я пол. 13 в. (авторство текста не выявлено: Бонавентура?, Якопоне да Тоди?; мелодия Д. Жосиза — D. Jausions, ум. 1868 или 1870).
См. Ноткер.
2) В учении о гармонии секвенция (нем. Sequenze, франц. marche harmonique, progression, итал. progressione, англ. sequence) — повторение мелодического мотива или гармонического оборота на другой высоте (от др. ступени, в др. тональности), следующее сразу за первым проведением как его непосредственное продолжение. Обычно всё последование наз. С., а его части — звеньями С. Мотив гармонической С. чаще всего состоит из двух или неск. гармоний в простых функц. отношениях. Интервал, на к-рый сдвигается первоначальное построение, наз. шагом С. (наиболее распространены сдвиги на секунду, терцию, кварту вниз или вверх, значительно реже на др. интервалы; шаг может быть переменным, напр. сначала на секунду, затем на терцию). Вследствие преобладания автентич. оборотов в мажорно-минорной тональной системе часто встречается нисходящая по секундам С., звено к-рой состоит из двух аккордов в нижнеквинтовом (автентич.) соотношении. В такой автентич. (по В. О. Беркову — «золотой») С. используются все ступени тональности в движении по квинтам вниз (квартам вверх):
Г. Ф. Гендель. Сюита g-moll для клавесина. Пассакалья.
С. с движением по квинтам вверх (плагальная) встречается редко (см., напр., 18-ю вариацию «Рапсодии на тему Паганини» Рахманинова, такты 7–10: V–II, VI—III вв. Des-dur). Сущностью С. является линеарно-мелодическое движение, в к-ром определяющее функциональное значение имеют его крайние точки; внутри средних звеньев С. преобладают переменные функции.
С. обычно классифицируют по двум принципам — по их функции в композиции (внутритональные — модулирующие) и по принадлежности к.-л. из родов звуковой системы (диатонические — хроматические): I. Однотональные (или тональные; также односистемные) — диатонические и хроматические (с отклонениями и побочными доминантами, а также др. видами хроматизма); II. Модулирующие (разносистемные) — диатонические и хроматические. Однотональные хроматические (с отклонениями) С. в пределах периода часто относят к модулирующим (по родственным тональностям), что неверно (В. О. Верков справедливо отмечал, что «секвенции с отклонениями относятся к тональным»). Образцы разл. видов С.: однотональная диатоническая — «Июль» из «Времён года» Чайковского (такты 7–10); однотональная хроматическая — вступление к опере «Евгений Онегин» Чайковского (такты 1–2); модулирующая диатоническая — прелюдия d-moll из I тома «Хорошо темперированного клавира» Баха (такты 2–3); модулирующая хроматическая — разработка I ч. 3-й симфонии Бетховена, такты 178–187: c-cis-d; разработка I ч. 4-й симфонии Чайковского, такты 201–211: h-e-a, a-d-g. Хроматич. модификацию автентич. секвенции представляет собой обычно т. н. «доминантовая цепочка» (см., напр., арию Марфы из IV д. оперы «Царская невеста» Римского-Корсакова, цифра 205, такты 6–8), где мягкие тяготения диатонич. побочных доминант заменяются острыми хроматическими («альтерационные вводные тоны»; см. Тюлин, 1966, с. 160; Способин, 1969, с. 23). Доминантовая цепочка может идти как в пределах одной данной тональности (в периоде; напр., в побочной теме увертюры-фантазии Чайковского «Ромео и Джульетта»), так и быть модулирующей (разработка финала симфонии Моцарта g-moll, такты 139–47, 126–32). Помимо основных критериев классификации С. имеют значение и другие, напр. разделение С. на мелодич. и аккордовые (в частности, возможно несовпадение видов мелодич. и аккордовой С., идущих одновременно, напр. в прелюдии C-dur из ор. 87 Шостаковича, такты 19–22, где мелодич. С. — с вводнотоновой хроматикой, а одновременно идущая аккордовая — диатонична), на точные и варьированные.
С. применяется и вне мажорно-минорной системы. В симметричных ладах секвентное повторение имеет особое значение, нередко становясь типичной формой изложения ладовой структуры (напр., односистемная С. в сцене похищения Людмилы из оперы «Руслан и Людмила» — звуки
в соло Звездочета из оперы «Золотой петушок», цифра 6, такты 2-9 — аккорды
модулирующая разносистемная С. в 9-й фп. сонате Скрябина, такты 15–19). В совр. музыке С. обогащается новой аккордикой (напр., полигармоническая модулирующая С. в теме связующей партии I ч. 6-й фп. сонаты Прокофьева, такты 24–32).
Принцип С. может проявляться в разных масштабах: в нек-рых случаях С. сближается с параллелизмом мелодич. или гармонич. оборотов, образуя микро-С. (напр., «Цыганская песня» из оперы Бизе «Кармен» — мелодич. С. соединяется с параллелизмом аккордов аккомпанемента — I–VII-VI–V; Presto в 1-й сонате для скрипки соло И. С. Баха, такты 9–11: I–IV, VII–III, VI–II, V; Интермеццо ор. 119 No 1 h-moll Брамса, такты 1–3: I–IV, VII–III; мелодич. С. у Баха и аккордовая у Брамса превращаются в параллелизм). В др. случаях принцип С. распространяется на повторения больших построений в разных тональностях на расстоянии, образуя макро-С. (по определению Б. В. Асафьева — «параллельные проведения»).
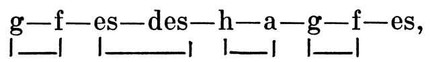
Осн. композиц. назначение С. — создание эффекта развития, особенно в разработках, связующих партиях (в пассакалье g-moll Генделя С. связана с характерным для жанра нисходящим басом g — f — es — d; подобного рода С. можно встретить и в др. произведениях этого жанра).
С. как способ повторения мелких композиц. единиц, по-видимому, всегда существовала в музыке. В одном из греч. трактатов (Аноним Беллермана I, см. Najock D., Drei anonyme griechische Trackate uber die Musik. Eine kommentierte Neuausgabe des Bellermannschen Anonymus, Gottingen, 1972) мелодич. фигура с верхним вспомогат. звуком излагается (очевидно, в учебно-методич. целях) в виде двух звеньев С. — h1 — cis2 — h1 cis2 — d2 — cis2 (то же — у Анонима III, у к-рого как С. излагается также др. мелодич. фигура — подъём «многократным образом»). Изредка С. встречается в григорианском хорале, напр. в оффертории Populum (V тона), v. 2:
С. иногда используется в мелодике проф. музыки средневековья и Возрождения. Как особая форма повторности С. применяется у мастеров парижской школы (12 — нач. 13 вв.); в трёхголосном градуале «Benedicta» С. в технике обмена голосов проходит на органном пункте выдержанного нижнего голоса (Ю. Хоминський, 1975, с. 147–48). С распространением канонич. техники появилась и канонич. С. («Patrem» Бертолино Падуанского, такты 183–91; см. Хоминський Ю., 1975, с. 396–397). Принципы полифонии строгого стиля 15–16 вв. (особенно у Палестрины) направлены скорее против простых повторений и С. (а повторение на др. высоте в эту эпоху — прежде всего имитация); однако С. всё же употребительна у Жоскена Депре, Я. Обрехта, Н. Гомберта (С. можно найти и у Орландо Лассо, Палестрины). В теоретич. трудах С. нередко приводится как способ систематики интервалов или для демонстрации звучания одноголосного (или многоголосного) оборота на разных ступенях согласно древней «методической» традиции; см., напр., «Ars cantus mensurabilis» Франко Кёльнского (13 в.; Gerbert, Scriptores…, t. 3, p. 14a), «De musica mensurabili positio» Й. де Гарландиа (Coussemaker, Scriptores…, t. 1, p. 108), «De cantu mensurabili» Анонима III (там же, р. 325b, 327a) и др.
С. в новом смысле — как последование аккордов (особенно нисходящая по квинтам) — получила широкое распространение начиная с 17 в.
Литература: 1) Кузнецов К. A., Введение в историю музыки, ч. 1, М. — Пг., 1923; Ливанова Т. Н., История западноевропейской музыки до 1789 года, М.-Л., 1940; Грубер Р. И., История музыкальной культуры, т. 1, ч. 1. М.-Л., 1941; его же, Всеобщая история музыки, ч. 1, М., 1956, 1965; Розеншильд К. К., История зарубежной музыки, вып. 1 — До середины 18 в., М., 1963; Wоlf F., Uber die Lais, Sequenzen und Leiche, Heidelberg, 1841; Schubiger A., Die Sangerschule St. Gallens von 8. bis 12. Jahrhundert, Einsiedeln — N. Y., 1858; Ambros A. W., Geschichte der Musik, Bd 2, Breslau, 1864; Naumann E., Illustrierte Musikgeschichte, Lfg. 1, Stuttg., 1880 (рус. пер. — Hayман Эм., Иллюстрированная всеобщая история музыки, т. 1, СПБ, 1897); Riemann H., Katechismus der Musikgeschichte, Tl 2, Lpz., 1888 (рус. пер. — Риман Г., Катехизис истории музыки, ч. 2, М., 1897, 1928); Wagner Р., Einfuhrung in die gregorianische Melodien, (Bd 1), Freiburg, 1895, Bd 3, Lpz., 1921; Gastоue A., L’art gregorien, P., 1911; Besseler H., Die Musik des Mittelalters und der Renaissance, Potsdam, 1931–34; Prunieres H., Nouvelle histoire de la musique, pt 1, P., 1934 (рус. пер. — Прюньер A., Новая история музыки, (т.) 1, М., 1937); Jоhner D., Wort und Ton im Choral, Lpz., 1940, 1953; Steinen W. v. d., Notker der Dichter und seine geistige Welt, Bd 1–2, Bern, 1948; Rarrish С, Оhl J., Masterpieces of music before 1750, N. Y., 1951, L., 1952 (рус. пер. — Пэрриш К., Оул Дж., Образцы музыкальных форм от григорианского хорала до Баха, Л., 1975); The Oxford History of music, v. 2, L. — Oxf., 1932, то же, N. Y., 1973; Сhоminski J. M., Historia harmonii i kontrapunktu, t. 1 Kr., 1958 (укр. пер. — Хоминський Й., Iстopiя гармонii та контрапункту, т. 1, К., 1975); Nestler G., Geschichte der Musik, Gutersloh, 1962; Gagnepain В., La musigue franзais du moyen age et de la Renaissance, P., 1968: Kohoutek C., Hudebni stylyz hlediska skladatele, Praha, 1976. 2) Тюлин Ю. H., Учение о гармонии, M. — Л., 1937, М., 1966; Способин И. В., Лекции по курсу гармонии, М., 1969; Берков В. О., Формообразующие средства гармонии, М., 1971. См. также лит. при статье Гармония.
Ю. Н. Холопов
Источник: Музыкальная энциклопедия, 1973—1982 гг.
